欧拉公式是很多推倒出来的公式的统称,其中以复变函数中的欧拉幅角公式最为着名,被世人评为是世界上最伟大的公式,它是由18世纪最伟大的数学家莱昂哈德·欧拉提出来的。这个公式能够解决很多的问题,因为在当时被称为真正的宇宙第一公式。

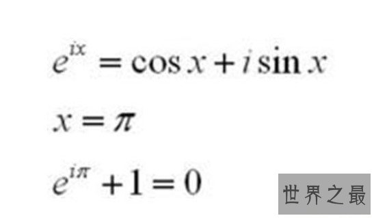
欧拉公式的最巧妙的地方就在于没有多余的内容,将数学中最基本的e、i、π 集合整理在了一个式子中,同时还加入了自然数中最神秘的0和1,最后仅仅只是用简单的加号连接起来。细说的话,它的伟大就在于将自然界的 e 含于其中、最重要的常数π 也被含在其中、最重要的运算符号含在其中、最重要的关系符号=含在其中、最重要的两个元也在其中、连最重要的虚单位i也包含在内。就连大数学家高斯也曾说过:“一个人第一次看到这个公式而不感到它的魅力,他不可能成为数学家。”所以,以上的种种奠基了它在人们心中不可动摇的地位。

第一个证明欧拉公式的人是20岁的柯西,他通过多面体设想的方法肯定了欧拉公式存在的意义。欧拉公式的一种变换,欧拉恒等式。它被称作是数学中最美妙的一个公式。欧拉公式容易理解的有两个作用。一个是是用于多面体的,而另外一个是用于级数展开的。欧拉公式数学中起到至关作用的数字被它联系了起来,两个超越数,自然对数的底e和圆周率π;两个单位,虚数单位i和自然数的单位1;以及人类数学史上最伟大的发现0。因此,在数学家的眼中,欧拉公式应是上帝的公式。

大数学家欧拉的在公式中这样建议,如果把你生活中那些复杂无比的谈婚论嫁想象成一个简单的数学过程,而欧拉公式则可以恰好根据你的实际情况计算出第几个人才是你生命中真正的另一半。你可能觉得这有点玄乎,不过,欧拉公式虽不是万能的,但有这样的想法还是不错的。博士的爱情方程式中有这样一个关于欧拉公式的理解,博士有一个爱的算式,它的实意是把一切复杂纷繁都归于虚无,归于寂静。着名的理工男曾冠维曾经用欧拉公式做过一件浪漫的事。
免责声明:本站所有资源均来自网络,仅供学习交流使用!
